Fanso ER14505M 3.6V 2200mAh AA Size Lityum Sayaç Pili
Fanso Battery, 30 yılı aşkın deneyimi ve alanında uzman teknik kadrosu ile Çin’in önde gelen birincil lityum pil üreticilerinden biridir.
Fanso Pilleri; başta petrol arama, elektronik basınç göstergeleri, akış ölçerler, TPMS, akıllı sayaçlar, RFID sistemleri, RAM ve CMOS devreleri, jeotermal ısı dedektörleri, sualtı mühimmatları, sonar, GPS ve çeşitli güç istasyonları olmak üzere birçok endüstriyel ve ticari uygulamada kullanılmaktadır.
Fanso ER14505M 3.6v 2200mAh Lityum Sayaç Pili Nedir?
Düşük akım ihtiyacı olan cihazlarınızda kullanabileceğiniz Fanso ER14505M 2200mAh lityum pil, orta kapasiteli ve yüksek bir performans sağlamaktadır. İçerisinde bulunan lityum-tiyonil klorür (LiSOCl2) kimyası sayesinde uzun ömürlüdür. Sağladığı düşük kendi kendine deşarj oranıyla uzun süreli kullanım sunar ve cihazların bakım ihtiyacını minimize eder.
Fanso ER14505M 2200mAh Sayaç Pili Boyutu
AA boyutlu bir pil modeli olan Fanso ER14505M, 14.5mm maksimum genişliğe ve 50.5mm maksimum yüksekliğe sahiptir. Birçok sayaç cihazında kullanılabilir.
Fanso ER14505N 3.6V 2200mAh Lityum ER(LiSOCl2) Pil Kullanım Alanları Nelerdir?
Düşük bakım gerektiren uygulamalarda tercih edilen uzun ömürlü ve stabil performans sunan Fanso ER14505M AA size lityum pil, geniş bir kullanım alanına sahiptir. Bu kullanım alanlarından birkaçı aşağıdaki gibidir:
- Askeri elektronik sistemler
- Doğalgaz sayaçları
- Su sayaçları
- Elektrik sayaçları
- Araç elektroniği
- GPS sistemleri
- Alarmlar veya güvenlik ekipmanları
ER14505M 3.6V 2200mAh Sayaç Pili Model Özellikleri Nelerdir?
- Uzun raf ömrü
- Yüksek ve kararlı çalışma voltajı
- Geniş çalışma sıcaklığı
- Paslanmaz çelik kutu ve kapak tasarımı
- IEC 86-4 güvenlik standartlarına uyumlu
- Yanıcı olmayan elektrolit özelliği
ER14505M 3.6V Hücre Özellikleri
- Nominal kapasite: 2200mAh
- Nominal voltaj: 3.6v
- Maksimum sürekli akım (mA): 400mA
- Maksimum darbe akım (mA): 1000mA
- Çalışma sıcaklık aralığı: -55°C / +80°C
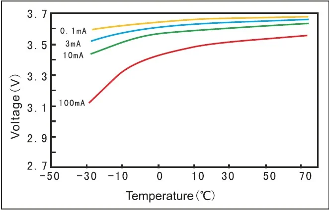
Fanso ER14505M AA Size Sayaç Pili Test Raporu
Aşağıda verilen test raporlarına göre ER14505M Sayaç pilinin belirli koşullarda sağlamış olduğu performansı görüntülenmektedir.
Sıcaklığa bağlı voltaj değişimi (Sol) / Zamana göre deşarj oranı (Sağ)


Fanso er14505m sayaç pili ve diğer fanso marka ER(Li-SOCl2) pil modellerimiz hakkında detaylı fiyat bilgisine HDA Enerji uzman ekibine iletişim sayfasından ulaşarak öğrenebilirsiniz. Ayrıca ürüne ait datasheet bilgilerine pdf dosya biçiminde ürün nitelikleri kısmından ulaşabilirsiniz.
| part-no | ER14505M |
|---|---|
| uretici | FANSO |
| hucre-boyutu | AA |
| gerilim | 3,6V |
| nom-kapasite-mah | 2200mAh |
| max-darbe-akimi | 1000 |
| max-surekli-akim-ma | 400 |
| sicaklik-⁰c | -55 ….+80 |
| maksimum-olculer-mm | 14,5 x 50,5 |
KARGO
Siparişleriniz, darbelere ve dış etkenlere karşı koruma sağlayan kaliteli ambalaj malzemeleriyle özenle paketlenir. Tüm kargolama süreçleri, ürün bütünlüğünü ve müşteri memnuniyetini esas alacak şekilde yürütülür.
TESLİMAT
- Siparişleriniz, 1-3 iş günü içinde kargoya verilir.
- Teslimatlar anlaşmalı kargo firmalarıyla yapılır.
- Kargo takip bilgileri sistemimize eklendikten sonra tarafınıza iletilir.
Teslimat süreci boyunca ürün güvenliği ve zamanında teslimat önceliğimizdir. Tüm gönderimlerimiz, müşterilerimizin adresine eksiksiz ve zamanında ulaşacak şekilde dikkatle takip edilmektedir.

Değerlendirmeler
Henüz değerlendirme yapılmadı.