Fanso ER14505H 3.6V 2700mAh AA Size Lityum Sayaç Pili
Fanso Battery, 30 yılı aşkın deneyimi ve alanında uzman teknik kadrosu ile Çin’in önde gelen birincil lityum pil üreticilerinden biridir.
Fanso Pilleri; başta petrol arama, elektronik basınç göstergeleri, akış ölçerler, TPMS, akıllı sayaçlar, RFID sistemleri, RAM ve CMOS devreleri, jeotermal ısı dedektörleri, sualtı mühimmatları, sonar, GPS ve çeşitli güç istasyonları olmak üzere birçok endüstriyel ve ticari uygulamada kullanılmaktadır.
Fanso ER14505H 3.6v 2700mAh Lityum Sayaç Pili Nedir?
Lityum-tiyonil klorür (Li-SOCl2) kimyası ile çalışan ve uzun ömürlü olan Fanso ER14505H AA boyutlu sayaç pili, yüksek enerji yoğunluğuna sahip bir güç kaynağı sağlar. Düşük kendi kendine deşarj oranı ile cihazların uzun süre çalışmasına olanak tanıyan bu pil, zorlu koşullarda ve düşük sıcaklıklarda da güçlü bir performans sunmaktadır. Yüksek akım kapasitesine sahip olan bu pil ani güç taleplerinde iyi derece performans sağlamaktadır.
Fanso Er14505h 2700mAh Sayaç Pili Boyutu
ER14505H sayaç pili AA size boyutunda olup, 14.5mm maksimum genişliğe ve 50.5mm maksimum yüksekliğe sahiptir. Birçok sayaç cihazında kullanılabilir.
Fanso ER14505H 3.6v 2700mAh Lityum ER (Li-SOCl2) Pil Kullanım Alanları
Geniş bir kullanım yelpazesine sahip olan bu pil modeli, uzun ömürlü ve düşük bakım gerektiren uygulamalarda tercih edilmektedir. Bu uygulama alanlarında birkaçı aşağıdaki gibidir:
- Elektrik sayaçları
- Doğalgaz sayacı
- Su sayaçları
- Askeri ve havacılık uygulamaları
- GPS ve izleme cihazları
- Medikal cihazlar
Gibi pek çok alanda kullanılır.
ER14505H 3.6v 2700mAh Sayaç Pili Model Özellikleri Nelerdir?
- Uzun raf ömrü
- Yüksek ve kararlı çalışma voltajı
- Geniş çalışma sıcaklığı
- Paslanmaz çelik kutu ve kapak tasarımı
- IEC 86-4 güvenlik standartlarına uyumlu
- Yanıcı olmayan elektrolit özelliği
ER14505H 3.6v Hücre Özellikleri
- Nominal kapasite: 2700mAh
- Nominal voltaj: 3.6v
- Maksimum sürekli akım (mA): 50mA
- Maksimum darbe akım (mA): 150mA
- Çalışma sıcaklık aralığı: -55°C / +85°C
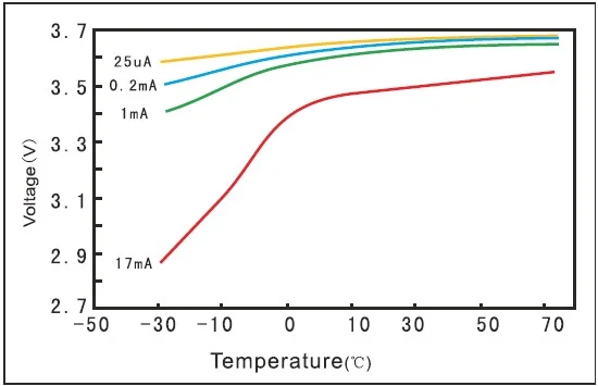
Fanso ER14505H AA Size Sayaç Pili Test Raporu
Aşağıda verilen test raporlarına göre ER14505H Sayaç pilinin belirli koşullarda sağlamış olduğu performansı görüntülenmektedir.
Sıcaklığa bağlı voltaj değişimi (Sol) / Zamana göre deşarj oranı (Sağ)


Fanso er14505h sayaç pili ve diğer fanso marka ER(Li-SOCl2) pil modellerimiz hakkında detaylı fiyat bilgisine HDA Enerji uzman ekibine iletişim sayfasından ulaşarak öğrenebilirsiniz. Ayrıca ürüne ait datasheet bilgilerine pdf dosya biçiminde ürün nitelikleri kısmından ulaşabilirsiniz.
| part-no |
ER14505H |
|---|---|
| ÜRETİM |
FANSO |
| HÜCRE BOYUTU |
AA |
| gerilim |
3,6V |
| nom-kapasite-mah |
2700mAh |
| max-darbe-akimi |
150 |
| max-surekli-akim-ma |
50 |
| SICAKLIK (⁰C) |
-55 ….+85 |
| MAKSİMUM ÖLÇÜLER (mm) |
14,5 x 50,5 |
KARGO
Siparişleriniz, darbelere ve dış etkenlere karşı koruma sağlayan kaliteli ambalaj malzemeleriyle özenle paketlenir. Tüm kargolama süreçleri, ürün bütünlüğünü ve müşteri memnuniyetini esas alacak şekilde yürütülür.
TESLİMAT
- Siparişleriniz, 1-3 iş günü içinde kargoya verilir.
- Teslimatlar anlaşmalı kargo firmalarıyla yapılır.
- Kargo takip bilgileri sistemimize eklendikten sonra tarafınıza iletilir.
Teslimat süreci boyunca ürün güvenliği ve zamanında teslimat önceliğimizdir. Tüm gönderimlerimiz, müşterilerimizin adresine eksiksiz ve zamanında ulaşacak şekilde dikkatle takip edilmektedir.

Değerlendirmeler
Henüz değerlendirme yapılmadı.