Fanso ER26500H 3.6V 9000mAh C Size Lityum Sayaç Pili
Fanso Battery, 30 yılı aşkın deneyimi ve alanında uzman teknik kadrosu ile Çin’in önde gelen birincil lityum pil üreticilerinden biridir.
Fanso Pilleri; başta petrol arama, elektronik basınç göstergeleri, akış ölçerler, TPMS, akıllı sayaçlar, RFID sistemleri, RAM ve CMOS devreleri, jeotermal ısı dedektörleri, sualtı mühimmatları, sonar, GPS ve çeşitli güç istasyonları olmak üzere birçok endüstriyel ve ticari uygulamada kullanılmaktadır.
Fanso ER26500H 3.6v 9000mAh Lityum Sayaç Pili Nedir?
Uzun ömürlü enerji sağlayan ve yüksek kapasiteli bir pil modeli olan Fanso 26500H 9000mAh C size sayaç pili, özellikle yüksek enerji gereksinimi olan cihazlar için ideal bir güç kaynağıdır. “H” serisinden olan bu pil modeli, gelişmiş performans özellikleri ve yüksek akım kapasitesi sunarak pek çok alanda kullanılmaya elverişlidir. Dayanıklılığı ve uzun ömürlü yapısı sayesinde zorlu ortam koşullarında dahi kararlı bir performans sergiler.
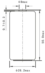
Fanso ER26500H 9000mAh Sayaç Pili Boyutu
ER26500H sayaç pili C size boyutunda olup, 26.2mm maksimum genişliğe ve 50.0mm maksimum yüksekliğe sahiptir. Birçok sayaç ve elektronik cihazda kullanılabilir.
Fanso ER26500H 3.6v 9000mAh Lityum ER (Li-SOCl2) Pil Kullanım Alanları
Geniş bir kullanım yelpazesine sahip olan fanso ER26500H C size sayaç pilinin sıkça kullanıldığı alanlar aşağıdaki gibidir:
- Medikal cihazlar
- GPS takip sistemleri
- Veri kaydediciler
- Elektrik, su ve doğalgaz sayaçları
- IoT sistemleri
- Askeri ve havacılık sistemleri
- Güvenlik sistemleri
- Endüstriyel sensörler
ER26500H 3.6v 9000mAh Sayaç Pili Model Özellikleri Nelerdir?
- Yüksek ve kararlı çalışma voltajı
- Geniş çalışma sıcaklığı
- Paslanmaz çelik kutu ve kapak tasarımı
- Uzun raf ömrü
- Yanıcı olmayan elektrolit özelliği
- IEC 86-4 güvenlik standartlarına uyumlu
ER26500H 3.6v Hücre Özellikleri
- Nominal kapasite: 9000mAh
- Nominal voltaj: 3.6v
- Maksimum sürekli akım (mA): 100mA
- Maksimum darbe akım (mA): 200mA
- Çalışma sıcaklık aralığı: -55°C / +85°C
- Ağırlık: 53g
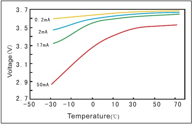
Fanso ER26500H C Size Sayaç Pili Test Raporu
Aşağıda verilen test raporlarına göre ER26500H Sayaç pilinin belirli koşullarda sağlamış olduğu performansı görüntülenmektedir.
Sıcaklığa bağlı voltaj değişimi (Sol) / Zamana göre deşarj oranı (Sağ)


Fanso er26500h sayaç pili ve diğer fanso marka ER(Li-SOCl2) pil modellerimiz hakkında detaylı fiyat bilgisine HDA Enerji uzman ekibine iletişim sayfasından ulaşarak öğrenebilirsiniz. Ayrıca ürüne ait datasheet bilgilerine pdf dosya biçiminde ürün nitelikleri kısmından ulaşabilirsiniz.
| part-no | ER26500H |
|---|---|
| uretici | FANSO |
| hucre-boyutu | C |
| gerilim | 3,6V |
| nom-kapasite-mah | 9000mAh |
| max-darbe-akimi | 200 |
| max-surekli-akim-ma | 100 |
| sicaklik-⁰c | -55 …. +85 |
| maksimum-olculer-mm | 26,2 x 50,0 |
KARGO
Siparişleriniz, darbelere ve dış etkenlere karşı koruma sağlayan kaliteli ambalaj malzemeleriyle özenle paketlenir. Tüm kargolama süreçleri, ürün bütünlüğünü ve müşteri memnuniyetini esas alacak şekilde yürütülür.
TESLİMAT
- Siparişleriniz, 1-3 iş günü içinde kargoya verilir.
- Teslimatlar anlaşmalı kargo firmalarıyla yapılır.
- Kargo takip bilgileri sistemimize eklendikten sonra tarafınıza iletilir.
Teslimat süreci boyunca ürün güvenliği ve zamanında teslimat önceliğimizdir. Tüm gönderimlerimiz, müşterilerimizin adresine eksiksiz ve zamanında ulaşacak şekilde dikkatle takip edilmektedir.

Değerlendirmeler
Henüz değerlendirme yapılmadı.